6922 OPERATING POINT PARAMETERS

We determined the 6922's operating point restrictions in the previous post. Now let's optimize various performance parameters. Typically there are two most important and usually conflicting parameters - maximum voltage swing and linearity. Since we are designing an audio amplification circuit, we are more concerned with linearity than with voltage swing. Triodes mainly produce second harmonic distortion, which is generated by the amplifier having unequal gain on the positive half cycle of the waveform compared to the negative half cycle, and the distortion is directly proportional to amplitude. In order to maximize our amplifier's linearity, we should select an operating point where the distance to the first grid line either side of the operating point is equal. Looking at the 6922's chart below, we see that biasing the anode voltage at 85 Volt by applying -2.0 Volt to the grid will provide for a operating meeting the above mentioned requirements.

1. Voltage Amplification

The first parameter is voltage amplification Av, also called, gain. We determine gain by looking an equal distance either side of the operating point to the first intersection with a grid line, noting the corresponding anode voltage. Referring to the 6922's chart above, if we move from the operating point to the right, we meet the 3 Volt grid line, which intersects at a voltage of 110 Volt, and the 1 Volt line that intersects at 55 Volt. Amplification Av is the change in anode voltage divided by the change in grid voltage and equals to 27.5. The minus sign signifies the fact that the amplifier is inverting, but the minus has no significance for our calculations.

2. Maximum Undistorted Voltage Swing

Again, we look symmetrically either side of the operating point, but this time we look for the first limiting value. In our example, we look to the left and see that at 55 Volt we are approaching, but not reaching, the region of positive grid current. This is our first limit. Looking to the right, we see that there is no limit until we reach the point of 250 Volt. Although, this means that the 6922 ca swing a large voltage positively, it cannot swing as far negatively. Thus, the first limit of 55 Volt is our operating limit. We now can see that the maximum undistorted peak to peak swing at the output is double that of the distance from the bias point to the first limit or 27.5 Volt peak to peak. Taking in consideration that AC voltages are specified as RMS value of a sine wave, we should divide this number by a factor of 2 multiplied by square root of 2. The resulting value is approximately 10 Volt RMS.

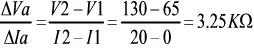
3. Output Resistance Ra

To find Ra we return to the anode characteristics for 6922 and draw a tangent to the curve where it touches the operating point and intersects the axis of Ua and the top boarder of the 6922's chart. Then we will measure the gradient of the curve at those points.

The intersection of the tangent line the with axis Ua gives us point with the values Ia = 0 mA and Ua = 65 Volt. The intersection of the tangent line the with the top boarder of the 6922's chart gives us point with the values Ia = 20 mA and Ua = 130 Volt. Plugging these numbers in the formula gives us anode resistance of 3.25 KOhm.