CALCULATING CATHODE DECOUPLING CAPACITOR

Adding a cathode bias resistor to the first tube of the cathode follower caused negative feedback and reduced tube's gain. Lets design measures that will prevent this feedback.

Because the output signal of the first tube of the cathode follower is derived from changing Ia flowing through R4, and Ia also flows through R3, there will also be a voltage across R3. In order to restore full gain, we must suppress the feedback voltage produced at the cathode using a decoupling or bypass capacitor C3. The bypass capacitor C3, together with resistor R3, will form a local low-pass filter.

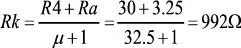
Let's calculate the resistance between the anode of the first tube and the ground. Let's title this resistance Rk.

Mu for 6922 was previously calculated here and is equal to 32.5. And Ra for 6922 was previously calculated here and is equal to 3.25.

In parallel with 360 Ohm cathode bias resistor R3 this gives us a total resistance Rk of 245 Ohm.

To calculate capacitance of the cathode bypass capacitor C3 we will use the following formula where f is the filter's cut off frequency which we select to be equal to 1 Hz.

Accordingly, C3 has a value of 650uF. The closest standard value to 650 uF is 680 uF.